Press Release
•
Feb 15, 2024 15:09 EST
Pioneering the Future of Fast-Charging All-Solid-State Batteries

TUCSON, Ariz., February 15, 2024 (Newswire.com)
–
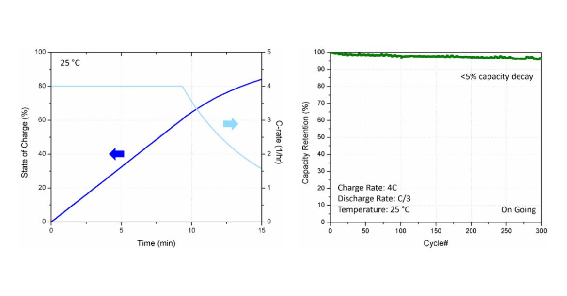
Ampcera Inc., a pioneer in solid-state electrolyte manufacturing and next-generation solid-state battery development, announces that its all-solid-state battery (ASSB) technology has achieved a fast-charging milestone of 0 to 80% state of charge (SOC) in under 15 minutes at a peak C-rate of 4C. This advancement demonstrates the fast-charging potential of ASSB – a key requirement for the widespread adoption of electric vehicles (EVs).
Ampcera’s ASSB technology, which comprises IP-protected sulfide solid-state electrolyte materials, is engineered for extreme fast charging. A high-capacity NMC cathode and a silicon-based anode are used to achieve a high energy density goal of 400 Wh/kg. The ASSB is devoid of any liquid or semi-solid electrolyte ensuring the highest levels of battery safety, which is particularly crucial during rapid charging cycles. Lab-scale pouch cells exhibited less than 5% capacity decay after 300 cycles of repeated fast charging (4C peak C-rate) demonstrating the potential for a long cycle life of greater than 1000 cycles in commercial cells once fully developed.
“Ampcera’s high-performance solid-state electrolyte materials have propelled ASSB technology beyond the U.S. Department of Energy (DOE)’s ambitious fast-charging benchmark of achieving an 80% charge in under 15 minutes,” said Sumin Zhu, Co-Founder and CEO of Ampcera Inc. “Our primary objective is to introduce a commercially viable fast-charging ASSB technology that addresses consumer charge anxiety caused by extended wait times at charging stations.”
The mounting concern regarding prolonged wait times at public charging stations, particularly in urban areas with limited at-home charging options, has significantly heightened charge anxiety among current and potential EV owners hindering widespread adoption. Ampcera is committed to tackling this critical challenge by advancing plans to develop and commercialize its fast-charging ASSB technology through strategic partnerships with industry leaders.
Last year, Ampcera was awarded a $2.1 million grant from the U.S. DOE’s Advanced Research Projects Agency-Energy (ARPA-E) as part of the EVs4ALL program. This grant underscores Ampcera’s commitment to advancing the development and commercialization of all-climate, fast-charging ASSB technology in collaboration with key industry partners, including a major U.S. automaker. It’s noteworthy that achieving an 80% charge in 15 minutes or less is considered an extreme fast-charging goal for lithium batteries, as outlined by both the United States Advanced Battery Consortium (USABC) and the U.S. DOE.
About Ampcera Inc.
Ampcera is a U.S.-based innovator and global leader in the development and commercialization of solid-state electrolyte materials and scalable manufacturing processes for next-generation solid-state batteries. With over 25 U.S. and international patents and patent applications safeguarding our core technologies, we continue to lead the charge toward a sustainable energy future. Discover more about Ampcera’s groundbreaking innovations at www.ampcera.com.
Source: Ampcera Inc.
